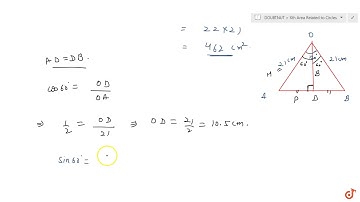
Find the area of the segment AYB shown in the figure, if radius of the circle is 21 cm and ∟AOB=120°

Tonton & Download Video Musik Gratis

⬇ DOWNLOAD NOW
Jika muncul iklan pop-up, tutup lalu klik tombol kembali

Download lagu Find the area of the segment AYB shown in the figure, if radius of the circle is 21 cm and ∟AOB=120° secara gratis hanya untuk keperluan promosi. Dukung artis favorit kamu dengan membeli musik original di iTunes atau platform resmi lainnya.