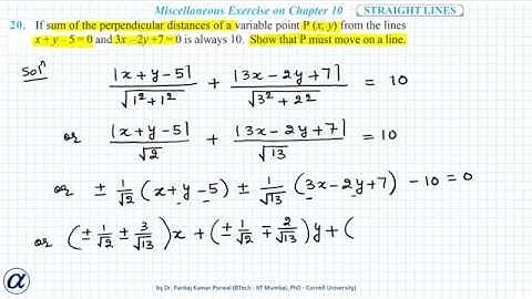
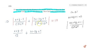
If sum of the perpendicular distances of a variable point P (x, y) from the lines Worldeez Academy

Tonton & Download Video Musik Gratis

⬇ DOWNLOAD NOW
Jika muncul iklan pop-up, tutup lalu klik tombol kembali

Download lagu If sum of the perpendicular distances of a variable point P (x, y) from the lines Worldeez Academy secara gratis hanya untuk keperluan promosi. Dukung artis favorit kamu dengan membeli musik original di iTunes atau platform resmi lainnya.