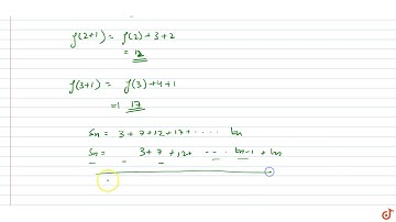
Let a, b, c ∈ R. If f(x)=a x^2+b x+c be such that a+b+c=3 and f(x+y)=f(x)+f(y)+x y, ∀ x, y ∈ R, t...

Tonton & Download Video Musik Gratis

⬇ DOWNLOAD NOW
Jika muncul iklan pop-up, tutup lalu klik tombol kembali

Download lagu Let a, b, c ∈ R. If f(x)=a x^2+b x+c be such that a+b+c=3 and f(x+y)=f(x)+f(y)+x y, ∀ x, y ∈ R, t... secara gratis hanya untuk keperluan promosi. Dukung artis favorit kamu dengan membeli musik original di iTunes atau platform resmi lainnya.