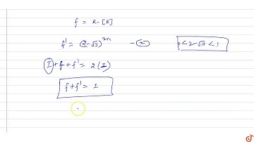
Let R = (5√5+11)^(2n+1) and f=R-[R], where [.] denotes the greatest integer function. R.f is

Tonton & Download Video Musik Gratis

⬇ DOWNLOAD NOW
Jika muncul iklan pop-up, tutup lalu klik tombol kembali

Download lagu Let R = (5√5+11)^(2n+1) and f=R-[R], where [.] denotes the greatest integer function. R.f is secara gratis hanya untuk keperluan promosi. Dukung artis favorit kamu dengan membeli musik original di iTunes atau platform resmi lainnya.