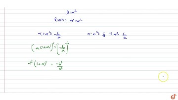
If one root of the equation \( a x^{2}+b x+c=0 \) is the square of the other, then \( a(c-b)^{3}...

Tonton & Download Video Musik Gratis

⬇ DOWNLOAD NOW
Jika muncul iklan pop-up, tutup lalu klik tombol kembali

Download lagu If one root of the equation \( a x^{2}+b x+c=0 \) is the square of the other, then \( a(c-b)^{3}... secara gratis hanya untuk keperluan promosi. Dukung artis favorit kamu dengan membeli musik original di iTunes atau platform resmi lainnya.