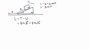
A block of massm is placed on a smooth wedge of inclination θ. The whole system is accelera....

Tonton & Download Video Musik Gratis

⬇ DOWNLOAD NOW
Jika muncul iklan pop-up, tutup lalu klik tombol kembali

Download lagu A block of massm is placed on a smooth wedge of inclination θ. The whole system is accelera.... secara gratis hanya untuk keperluan promosi. Dukung artis favorit kamu dengan membeli musik original di iTunes atau platform resmi lainnya.