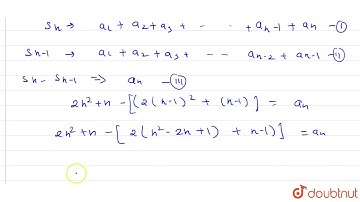
If Sn, the sum of the first n terms of an A.P. is given by Sn=2n^2+n then find its nth term.

Tonton & Download Video Musik Gratis

⬇ DOWNLOAD NOW
Jika muncul iklan pop-up, tutup lalu klik tombol kembali

Download lagu If Sn, the sum of the first n terms of an A.P. is given by Sn=2n^2+n then find its nth term. secara gratis hanya untuk keperluan promosi. Dukung artis favorit kamu dengan membeli musik original di iTunes atau platform resmi lainnya.