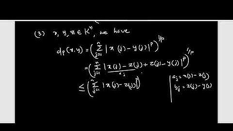
lec 3 part 1 functional analysis topic:show that d(x, y) =|X-Y| is a metric space

Tonton & Download Video Musik Gratis

⬇ DOWNLOAD NOW
Jika muncul iklan pop-up, tutup lalu klik tombol kembali

Download lagu lec 3 part 1 functional analysis topic:show that d(x, y) =|X-Y| is a metric space secara gratis hanya untuk keperluan promosi. Dukung artis favorit kamu dengan membeli musik original di iTunes atau platform resmi lainnya.