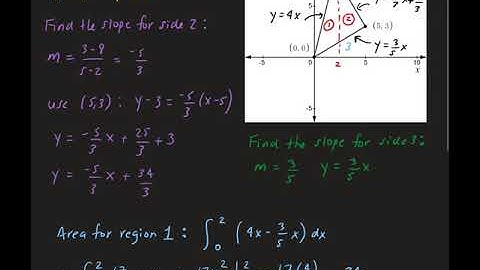
Use calculus to find the area A of the triangle with the given vertices.(0, 0), (5, 2), (3, 8)

Tonton & Download Video Musik Gratis

⬇ DOWNLOAD NOW
Jika muncul iklan pop-up, tutup lalu klik tombol kembali

Download lagu Use calculus to find the area A of the triangle with the given vertices.(0, 0), (5, 2), (3, 8) secara gratis hanya untuk keperluan promosi. Dukung artis favorit kamu dengan membeli musik original di iTunes atau platform resmi lainnya.