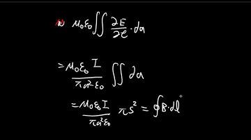
Griffiths Problem 7.34 solution | introduction to electrodynamics (4th Edition) Griffiths solutions

Tonton & Download Video Musik Gratis

⬇ DOWNLOAD NOW
Jika muncul iklan pop-up, tutup lalu klik tombol kembali

Download lagu Griffiths Problem 7.34 solution | introduction to electrodynamics (4th Edition) Griffiths solutions secara gratis hanya untuk keperluan promosi. Dukung artis favorit kamu dengan membeli musik original di iTunes atau platform resmi lainnya.