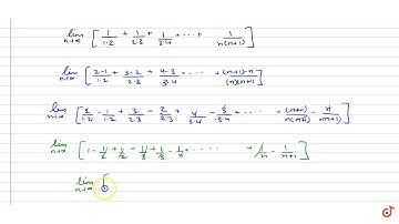
Prove by the principle of mathematical induction: 1/1.2 + 1/2.3 + 1/3.4 + ... + 1/n(n+1) = n/n+1

Tonton & Download Video Musik Gratis

⬇ DOWNLOAD NOW
Jika muncul iklan pop-up, tutup lalu klik tombol kembali

Download lagu Prove by the principle of mathematical induction: 1/1.2 + 1/2.3 + 1/3.4 + ... + 1/n(n+1) = n/n+1 secara gratis hanya untuk keperluan promosi. Dukung artis favorit kamu dengan membeli musik original di iTunes atau platform resmi lainnya.