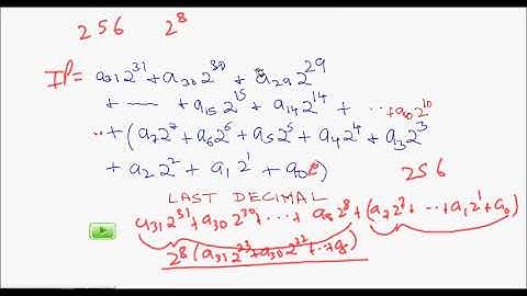
Part 2 - IP subnet masks; Private and public IPv4 addresses; Classless IP addressing

Tonton & Download Video Musik Gratis

⬇ DOWNLOAD NOW
Jika muncul iklan pop-up, tutup lalu klik tombol kembali

Download lagu Part 2 - IP subnet masks; Private and public IPv4 addresses; Classless IP addressing secara gratis hanya untuk keperluan promosi. Dukung artis favorit kamu dengan membeli musik original di iTunes atau platform resmi lainnya.