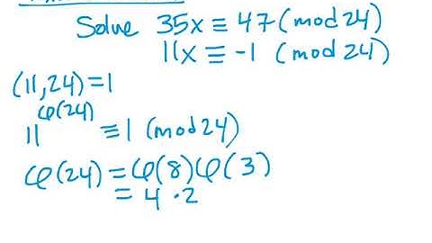
61. Euler's Theorem to simplify Linear congruence πšπ±β‰‘π›(𝐦𝐨𝐝 𝐦)

Tonton & Download Video Musik Gratis

⬇ DOWNLOAD NOW
Jika muncul iklan pop-up, tutup lalu klik tombol kembali

Download lagu 61. Euler's Theorem to simplify Linear congruence πšπ±β‰‘π›(𝐦𝐨𝐝 𝐦) secara gratis hanya untuk keperluan promosi. Dukung artis favorit kamu dengan membeli musik original di iTunes atau platform resmi lainnya.