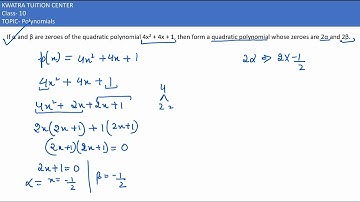
Alpha and Beta are zeroes of 4x^2 - x - 4. Find the quadratic polynomial whose zeroes are 1/2 alpha…

Tonton & Download Video Musik Gratis

⬇ DOWNLOAD NOW
Jika muncul iklan pop-up, tutup lalu klik tombol kembali

Download lagu Alpha and Beta are zeroes of 4x^2 - x - 4. Find the quadratic polynomial whose zeroes are 1/2 alpha… secara gratis hanya untuk keperluan promosi. Dukung artis favorit kamu dengan membeli musik original di iTunes atau platform resmi lainnya.