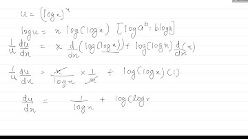
Class 12 Ex 5.5 Q7 Maths | Ex 5.5 class 12 maths q7 | Question 7 exercise 5.5 Class 12

Tonton & Download Video Musik Gratis

⬇ DOWNLOAD NOW
Jika muncul iklan pop-up, tutup lalu klik tombol kembali

Download lagu Class 12 Ex 5.5 Q7 Maths | Ex 5.5 class 12 maths q7 | Question 7 exercise 5.5 Class 12 secara gratis hanya untuk keperluan promosi. Dukung artis favorit kamu dengan membeli musik original di iTunes atau platform resmi lainnya.