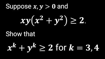
Mastering Inequalities: A Powerful Demonstration Using AM-GM and Cauchy-Schwarz

Tonton & Download Video Musik Gratis

⬇ DOWNLOAD NOW
Jika muncul iklan pop-up, tutup lalu klik tombol kembali

Download lagu Mastering Inequalities: A Powerful Demonstration Using AM-GM and Cauchy-Schwarz secara gratis hanya untuk keperluan promosi. Dukung artis favorit kamu dengan membeli musik original di iTunes atau platform resmi lainnya.