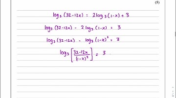
IAL, Edexcel, Jun 2022, P2, Q9, Exponentials and Logarithms, Pure, Nick Peters, WMA12/01

Tonton & Download Video Musik Gratis

⬇ DOWNLOAD NOW
Jika muncul iklan pop-up, tutup lalu klik tombol kembali

Download lagu IAL, Edexcel, Jun 2022, P2, Q9, Exponentials and Logarithms, Pure, Nick Peters, WMA12/01 secara gratis hanya untuk keperluan promosi. Dukung artis favorit kamu dengan membeli musik original di iTunes atau platform resmi lainnya.