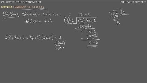
Division Algorithm for polynomials, Chapter 2 Class 10 Maths Concepts

Tonton & Download Video Musik Gratis

⬇ DOWNLOAD NOW
Jika muncul iklan pop-up, tutup lalu klik tombol kembali

Download lagu Division Algorithm for polynomials, Chapter 2 Class 10 Maths Concepts secara gratis hanya untuk keperluan promosi. Dukung artis favorit kamu dengan membeli musik original di iTunes atau platform resmi lainnya.