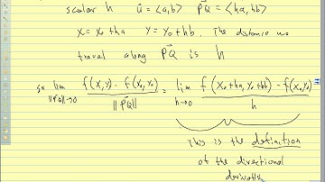
Calculus 3 Lecture 13.6: Finding Directional Derivatives and Gradients

Tonton & Download Video Musik Gratis

⬇ DOWNLOAD NOW
Jika muncul iklan pop-up, tutup lalu klik tombol kembali

Download lagu Calculus 3 Lecture 13.6: Finding Directional Derivatives and Gradients secara gratis hanya untuk keperluan promosi. Dukung artis favorit kamu dengan membeli musik original di iTunes atau platform resmi lainnya.