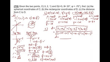
The Spherical Coordinate System Problem 3 - Vector Analysis - Electromagnetic Field and Wave Theory

Tonton & Download Video Musik Gratis

⬇ DOWNLOAD NOW
Jika muncul iklan pop-up, tutup lalu klik tombol kembali

Download lagu The Spherical Coordinate System Problem 3 - Vector Analysis - Electromagnetic Field and Wave Theory secara gratis hanya untuk keperluan promosi. Dukung artis favorit kamu dengan membeli musik original di iTunes atau platform resmi lainnya.