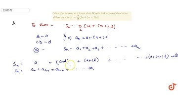
If S_n=nP+n(n-1)Q/2, where S_n denotes the sum of the first n terms of AP then the common difference

Tonton & Download Video Musik Gratis

⬇ DOWNLOAD NOW
Jika muncul iklan pop-up, tutup lalu klik tombol kembali

Download lagu If S_n=nP+n(n-1)Q/2, where S_n denotes the sum of the first n terms of AP then the common difference secara gratis hanya untuk keperluan promosi. Dukung artis favorit kamu dengan membeli musik original di iTunes atau platform resmi lainnya.