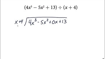
Long division of Polynomials - 3rd degree polynomial divided by linear binomial function

Tonton & Download Video Musik Gratis

⬇ DOWNLOAD NOW
Jika muncul iklan pop-up, tutup lalu klik tombol kembali

Download lagu Long division of Polynomials - 3rd degree polynomial divided by linear binomial function secara gratis hanya untuk keperluan promosi. Dukung artis favorit kamu dengan membeli musik original di iTunes atau platform resmi lainnya.