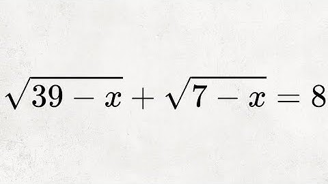
Solve this Nested Radical Equation without squaring both sides or with no explicit substitutions

Tonton & Download Video Musik Gratis

⬇ DOWNLOAD NOW
Jika muncul iklan pop-up, tutup lalu klik tombol kembali

Download lagu Solve this Nested Radical Equation without squaring both sides or with no explicit substitutions secara gratis hanya untuk keperluan promosi. Dukung artis favorit kamu dengan membeli musik original di iTunes atau platform resmi lainnya.