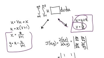
Practice with change of variables (=Jacobian) (Calc 3; Lecture 3-8; Fall 25)

Tonton & Download Video Musik Gratis

⬇ DOWNLOAD NOW
Jika muncul iklan pop-up, tutup lalu klik tombol kembali

Download lagu Practice with change of variables (=Jacobian) (Calc 3; Lecture 3-8; Fall 25) secara gratis hanya untuk keperluan promosi. Dukung artis favorit kamu dengan membeli musik original di iTunes atau platform resmi lainnya.