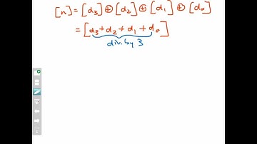
Divisibility by 3 Tester - Logic, Formal Notation and Transition Table

Tonton & Download Video Musik Gratis

⬇ DOWNLOAD NOW
Jika muncul iklan pop-up, tutup lalu klik tombol kembali

Download lagu Divisibility by 3 Tester - Logic, Formal Notation and Transition Table secara gratis hanya untuk keperluan promosi. Dukung artis favorit kamu dengan membeli musik original di iTunes atau platform resmi lainnya.