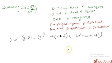
7. If a,b,c rational and a + b + c=0, show roots of (b+c–a)x² + (c+a–b)x +(a+b+c) = 0 are rational.

Tonton & Download Video Musik Gratis

⬇ DOWNLOAD NOW
Jika muncul iklan pop-up, tutup lalu klik tombol kembali

Download lagu 7. If a,b,c rational and a + b + c=0, show roots of (b+c–a)x² + (c+a–b)x +(a+b+c) = 0 are rational. secara gratis hanya untuk keperluan promosi. Dukung artis favorit kamu dengan membeli musik original di iTunes atau platform resmi lainnya.