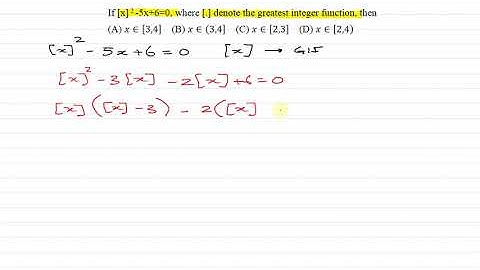
If [x]^2 - 5[x] + 6 = 0, where [.] denotes the greatest integer function, then

Tonton & Download Video Musik Gratis

⬇ DOWNLOAD NOW
Jika muncul iklan pop-up, tutup lalu klik tombol kembali

Download lagu If [x]^2 - 5[x] + 6 = 0, where [.] denotes the greatest integer function, then secara gratis hanya untuk keperluan promosi. Dukung artis favorit kamu dengan membeli musik original di iTunes atau platform resmi lainnya.