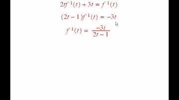
Worldwide Pre-Calculus: Finding an Inverse Function of Y (ch2.6 #2.6.10)

Tonton & Download Video Musik Gratis

⬇ DOWNLOAD NOW
Jika muncul iklan pop-up, tutup lalu klik tombol kembali

Download lagu Worldwide Pre-Calculus: Finding an Inverse Function of Y (ch2.6 #2.6.10) secara gratis hanya untuk keperluan promosi. Dukung artis favorit kamu dengan membeli musik original di iTunes atau platform resmi lainnya.