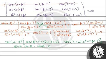
IIT JEE DETERMINANTS If `alpha,beta,gamma` are the angles of a triangle and system of equations `...

Tonton & Download Video Musik Gratis

⬇ DOWNLOAD NOW
Jika muncul iklan pop-up, tutup lalu klik tombol kembali

Download lagu IIT JEE DETERMINANTS If `alpha,beta,gamma` are the angles of a triangle and system of equations `... secara gratis hanya untuk keperluan promosi. Dukung artis favorit kamu dengan membeli musik original di iTunes atau platform resmi lainnya.