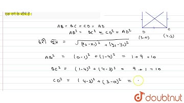
Show that the points A(3, 1), B(0, -2), C(1, 1) and D(4, 4) are the vertices

Tonton & Download Video Musik Gratis

⬇ DOWNLOAD NOW
Jika muncul iklan pop-up, tutup lalu klik tombol kembali

Download lagu Show that the points A(3, 1), B(0, -2), C(1, 1) and D(4, 4) are the vertices secara gratis hanya untuk keperluan promosi. Dukung artis favorit kamu dengan membeli musik original di iTunes atau platform resmi lainnya.