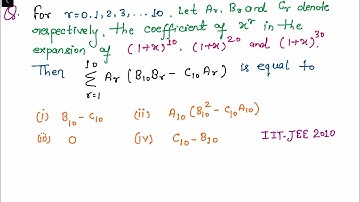
IIT Advanced 2010 Binomial Theorem Question | For r=0,1,2,…,10. Let A_r, B_r and C_r denote | #iit

Tonton & Download Video Musik Gratis

⬇ DOWNLOAD NOW
Jika muncul iklan pop-up, tutup lalu klik tombol kembali

Download lagu IIT Advanced 2010 Binomial Theorem Question | For r=0,1,2,…,10. Let A_r, B_r and C_r denote | #iit secara gratis hanya untuk keperluan promosi. Dukung artis favorit kamu dengan membeli musik original di iTunes atau platform resmi lainnya.