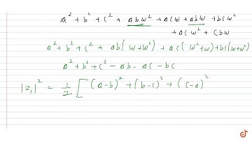
If w is a non real cube root of unity, then minimum value of `| a+ bw + c w^2|`is ( If a,b,c a...

Tonton & Download Video Musik Gratis

⬇ DOWNLOAD NOW
Jika muncul iklan pop-up, tutup lalu klik tombol kembali

Download lagu If w is a non real cube root of unity, then minimum value of `| a+ bw + c w^2|`is ( If a,b,c a... secara gratis hanya untuk keperluan promosi. Dukung artis favorit kamu dengan membeli musik original di iTunes atau platform resmi lainnya.