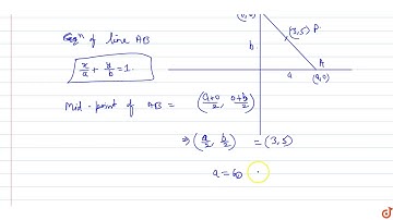
A straight line passes through the point (-5,2) and the portion of the line intercepted between

Tonton & Download Video Musik Gratis

⬇ DOWNLOAD NOW
Jika muncul iklan pop-up, tutup lalu klik tombol kembali

Download lagu A straight line passes through the point (-5,2) and the portion of the line intercepted between secara gratis hanya untuk keperluan promosi. Dukung artis favorit kamu dengan membeli musik original di iTunes atau platform resmi lainnya.