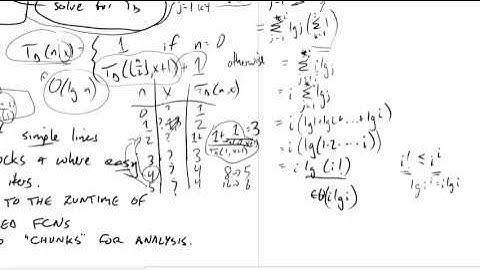
CPSC 320 Worked Example, Asymptotic Analysis: Bounding the Third Loop

Tonton & Download Video Musik Gratis

⬇ DOWNLOAD NOW
Jika muncul iklan pop-up, tutup lalu klik tombol kembali

Download lagu CPSC 320 Worked Example, Asymptotic Analysis: Bounding the Third Loop secara gratis hanya untuk keperluan promosi. Dukung artis favorit kamu dengan membeli musik original di iTunes atau platform resmi lainnya.