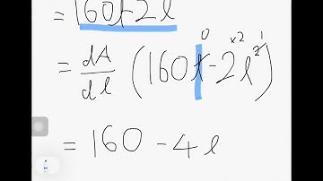
MAT 183 VIDEO ASSIGNMENT APPLICATION OF DIFFERENTIATION IN DAILY LIFE (APPLIED MIN/MAX VALUE)

Tonton & Download Video Musik Gratis

⬇ DOWNLOAD NOW
Jika muncul iklan pop-up, tutup lalu klik tombol kembali

Download lagu MAT 183 VIDEO ASSIGNMENT APPLICATION OF DIFFERENTIATION IN DAILY LIFE (APPLIED MIN/MAX VALUE) secara gratis hanya untuk keperluan promosi. Dukung artis favorit kamu dengan membeli musik original di iTunes atau platform resmi lainnya.