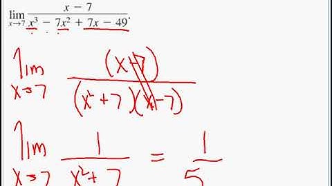
12 2A Techniques for Evaluating Limits Dividing out and Rationalizing Ex 1 to 3

Tonton & Download Video Musik Gratis

⬇ DOWNLOAD NOW
Jika muncul iklan pop-up, tutup lalu klik tombol kembali

Download lagu 12 2A Techniques for Evaluating Limits Dividing out and Rationalizing Ex 1 to 3 secara gratis hanya untuk keperluan promosi. Dukung artis favorit kamu dengan membeli musik original di iTunes atau platform resmi lainnya.