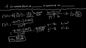
Section 4.5 Derivatives and Shape of Graph (Concavity) Problem 2

Tonton & Download Video Musik Gratis

⬇ DOWNLOAD NOW
Jika muncul iklan pop-up, tutup lalu klik tombol kembali

Download lagu Section 4.5 Derivatives and Shape of Graph (Concavity) Problem 2 secara gratis hanya untuk keperluan promosi. Dukung artis favorit kamu dengan membeli musik original di iTunes atau platform resmi lainnya.