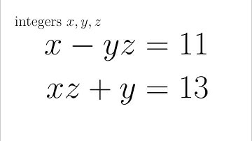
Chineese Mathematical Olympiad (Junior): a system of 2 equations with 3 unknows to solve

Tonton & Download Video Musik Gratis

⬇ DOWNLOAD NOW
Jika muncul iklan pop-up, tutup lalu klik tombol kembali

Download lagu Chineese Mathematical Olympiad (Junior): a system of 2 equations with 3 unknows to solve secara gratis hanya untuk keperluan promosi. Dukung artis favorit kamu dengan membeli musik original di iTunes atau platform resmi lainnya.