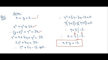
The number x is 2 more than the number y. If the sum of the squares of x and y is 34, find the p...

Tonton & Download Video Musik Gratis

⬇ DOWNLOAD NOW
Jika muncul iklan pop-up, tutup lalu klik tombol kembali

Download lagu The number x is 2 more than the number y. If the sum of the squares of x and y is 34, find the p... secara gratis hanya untuk keperluan promosi. Dukung artis favorit kamu dengan membeli musik original di iTunes atau platform resmi lainnya.