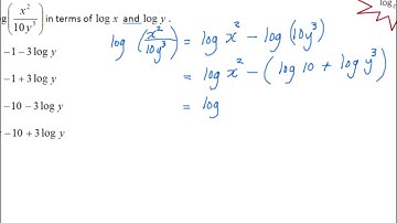
Math 3200 - Ch.8 Sec.8.4 - Applications Using Logarithmic Scales

Tonton & Download Video Musik Gratis

⬇ DOWNLOAD NOW
Jika muncul iklan pop-up, tutup lalu klik tombol kembali

Download lagu Math 3200 - Ch.8 Sec.8.4 - Applications Using Logarithmic Scales secara gratis hanya untuk keperluan promosi. Dukung artis favorit kamu dengan membeli musik original di iTunes atau platform resmi lainnya.