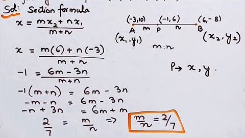
Find ratio in which line segment joining points (-3,10) & (6,-8) is divided by (-1,6) #shorts

Tonton & Download Video Musik Gratis

⬇ DOWNLOAD NOW
Jika muncul iklan pop-up, tutup lalu klik tombol kembali

Download lagu Find ratio in which line segment joining points (-3,10) & (6,-8) is divided by (-1,6) #shorts secara gratis hanya untuk keperluan promosi. Dukung artis favorit kamu dengan membeli musik original di iTunes atau platform resmi lainnya.