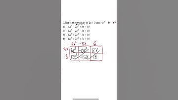
Algebra 1 Topic 39: Multiplying Multiple Polynomials (Part 2/3)

Tonton & Download Video Musik Gratis

⬇ DOWNLOAD NOW
Jika muncul iklan pop-up, tutup lalu klik tombol kembali

Download lagu Algebra 1 Topic 39: Multiplying Multiple Polynomials (Part 2/3) secara gratis hanya untuk keperluan promosi. Dukung artis favorit kamu dengan membeli musik original di iTunes atau platform resmi lainnya.