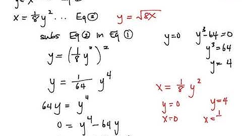
Cape Pure Mathematics Unit 1 2018 Exam: Fully Worked Solutions (Part 2) Q4 to Q6: Adobe Math Lab

Tonton & Download Video Musik Gratis

⬇ DOWNLOAD NOW
Jika muncul iklan pop-up, tutup lalu klik tombol kembali

Download lagu Cape Pure Mathematics Unit 1 2018 Exam: Fully Worked Solutions (Part 2) Q4 to Q6: Adobe Math Lab secara gratis hanya untuk keperluan promosi. Dukung artis favorit kamu dengan membeli musik original di iTunes atau platform resmi lainnya.