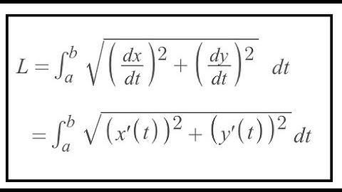
Calculus II Ch 10 Exercise 10.1 Question 65 solution | Parametric Equations | Howard Anton

Tonton & Download Video Musik Gratis

⬇ DOWNLOAD NOW
Jika muncul iklan pop-up, tutup lalu klik tombol kembali

Download lagu Calculus II Ch 10 Exercise 10.1 Question 65 solution | Parametric Equations | Howard Anton secara gratis hanya untuk keperluan promosi. Dukung artis favorit kamu dengan membeli musik original di iTunes atau platform resmi lainnya.