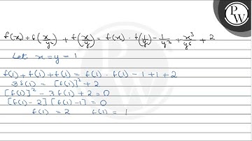
Let \(f(x)\) be a polynomial function satisfying the relation \(f(x) . f\left(\frac{1}{x}\right)....

Tonton & Download Video Musik Gratis

⬇ DOWNLOAD NOW
Jika muncul iklan pop-up, tutup lalu klik tombol kembali

Download lagu Let \(f(x)\) be a polynomial function satisfying the relation \(f(x) . f\left(\frac{1}{x}\right).... secara gratis hanya untuk keperluan promosi. Dukung artis favorit kamu dengan membeli musik original di iTunes atau platform resmi lainnya.