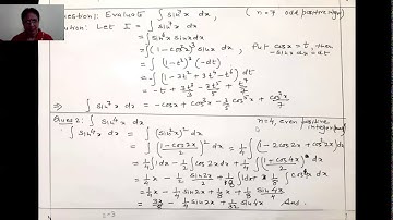
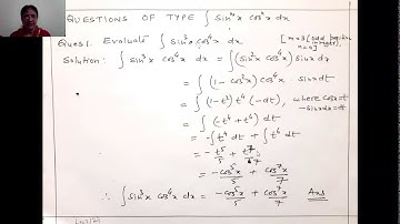
Integration of transcendental functions| even&odd power of #sin^n x# cos^n x#maths #bsc1styearmaths

Tonton & Download Video Musik Gratis

⬇ DOWNLOAD NOW
Jika muncul iklan pop-up, tutup lalu klik tombol kembali

Download lagu Integration of transcendental functions| even&odd power of #sin^n x# cos^n x#maths #bsc1styearmaths secara gratis hanya untuk keperluan promosi. Dukung artis favorit kamu dengan membeli musik original di iTunes atau platform resmi lainnya.