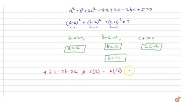
Find the values of a,b and c given a^2 + b^2 + 2*c^2 - 4a + 2c - 2bc +5 =0

Tonton & Download Video Musik Gratis

⬇ DOWNLOAD NOW
Jika muncul iklan pop-up, tutup lalu klik tombol kembali

Download lagu Find the values of a,b and c given a^2 + b^2 + 2*c^2 - 4a + 2c - 2bc +5 =0 secara gratis hanya untuk keperluan promosi. Dukung artis favorit kamu dengan membeli musik original di iTunes atau platform resmi lainnya.