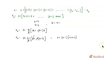
5.b) 3 + 7 + 13 + 21 + 31 +.... Find the nth term and then sum of n terms of following series. NEB12

Tonton & Download Video Musik Gratis

⬇ DOWNLOAD NOW
Jika muncul iklan pop-up, tutup lalu klik tombol kembali

Download lagu 5.b) 3 + 7 + 13 + 21 + 31 +.... Find the nth term and then sum of n terms of following series. NEB12 secara gratis hanya untuk keperluan promosi. Dukung artis favorit kamu dengan membeli musik original di iTunes atau platform resmi lainnya.