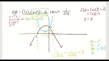
2020 Maths Extension 1 HSC Q11c How to draw reciprocal 1/f(x) given graph of f(x)

Tonton & Download Video Musik Gratis

⬇ DOWNLOAD NOW
Jika muncul iklan pop-up, tutup lalu klik tombol kembali

Download lagu 2020 Maths Extension 1 HSC Q11c How to draw reciprocal 1/f(x) given graph of f(x) secara gratis hanya untuk keperluan promosi. Dukung artis favorit kamu dengan membeli musik original di iTunes atau platform resmi lainnya.