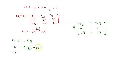
A square matrix A is called Orthogonal, if @EliteAcademyIndia-EAI

Tonton & Download Video Musik Gratis

⬇ DOWNLOAD NOW
Jika muncul iklan pop-up, tutup lalu klik tombol kembali

Download lagu A square matrix A is called Orthogonal, if @EliteAcademyIndia-EAI secara gratis hanya untuk keperluan promosi. Dukung artis favorit kamu dengan membeli musik original di iTunes atau platform resmi lainnya.